口袋奇兵感恩节烹饪大赛活动心得
今天玩口袋奇兵感恩节烹饪大赛,感觉挺有意思的。这个活动就是让大家做各种菜,做完能拿奖励,还有豪华菜谱那种。我们来看看怎么玩,顺便说说我的经验。
今天第一天活动,礼包买了60块。有6块100、12块200、30块400、60块700这几个选项。我们觉得价格越低性价比越高,所以买了60块。玩了一上午,配菜开了155个精华,糖果盒开了110个精华。
【活动感受】
-
感觉比万圣节活动好些,没那么难。有些固定菜谱,但菜单不能反复做,做多了会出失败菜或者保熟菜。主要就是让大家各种搭配试菜谱,运气好开个精致菜能出20个精华(豪华和丰盛菜太看脸),运气不好就是一堆道具。我们这种运气差的,玩这个有点累。
-
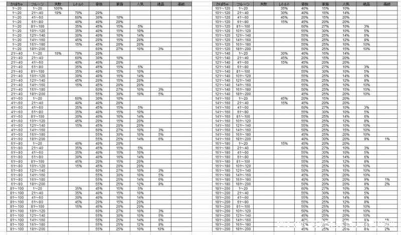
相同配比的菜单,比如100+100、105+105,相对容易开出精致或最豪菜。
-
随机料理第一次开出“家庭或精致菜”就不要再重复烹饪了,后面所获菜品会调低。
这只是我们第一天玩的经验,大家参考参考。附上今天配的菜单,希望能给大家点启发。





第二天菜谱,182、162出丰盛菜得100精华;196、196出30糖盒,开出90个精华。其他配比都是出10个甚至3个的精华。


南瓜+水果总数大于300以上有概率得300精华。具体配比看下表。
【重点内容】
豪华菜谱太看脸,运气不好就是一堆道具
最后说说,这个活动其实挺简单的,就是多尝试多搭配。如果运气不好,可能就是反复出失败菜,有点浪费时间。但如果我们运气好,开个豪华菜谱,那奖励肯定不错。总的来说,玩这个活动还是要看个人喜好,喜欢就多试试,不喜欢就随便做做。
今天就这样,希望大家玩得开心。